跳到主要内容

完全解读布隆过滤器

plus 版本专属

此章节是黑马点评 Plus 版本中专有的内容,而在整套文档中将普通版本和 Plus 版本都融合在了一起,让大家更方便的学习。

布隆过滤器(Bloom Filter)是 1970 年由布隆提出的,是一种非常节省空间的概率数据结构,运行速度快,占用内存小。它实际上是一个很长的二进制向量和一系列随机映射函数。布隆过滤器可以用于检索一个元素是否在一个集合中。主要用于判断一个元素是否在一个集合中。主要是解决大规模数据下不需要精确过滤的场景,如检查垃圾邮件地址,爬虫URL地址去重,解决缓存穿透问题等。

优点

  • 存储空间和插入 / 查询时间都是常数O(k)
  • 支持海量数据场景下高效率判断元素是否存在
  • 存储空间小,不存储数据本身,而是存储hash结果取模运算后的位标记

缺点

  • 无法删除,因为可能多个元素通过哈希后,可能会产生hash碰撞,映射到布隆过滤器的同一个位置。删除该位置后,可能影响其他元素
  • 误判,由于存在hash碰撞,不同的元素经过哈希后可能映射到同一个位置,一旦产生碰撞,会被误判存在
  • 碰撞概率,让随着元素越来越大,在容量限制下,布隆过滤器被使用的位置就会越来越多,误判的几率也会越来越大

特点

根据布隆过滤器的特点可以知道:

  • 判断如果某个元素存在,由于存在误判,这个元素不一定是存在的
  • 判断如果某个元素不存在,那这个元素一定不存在

原理

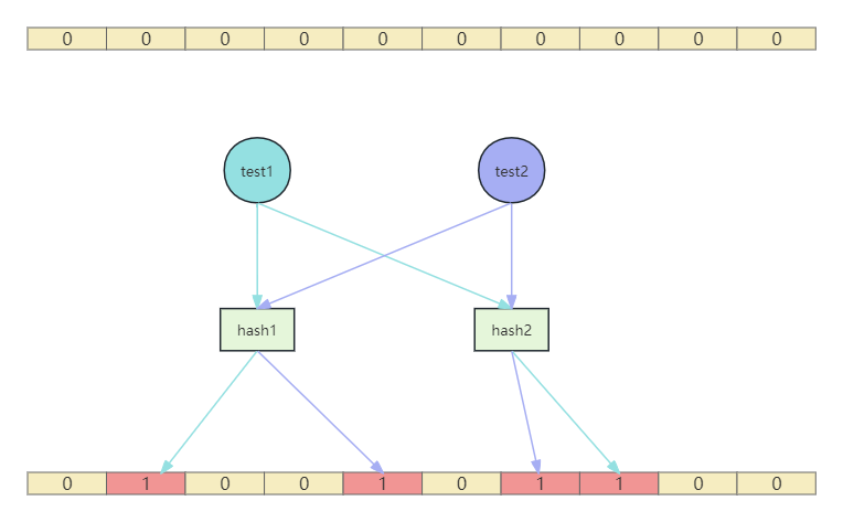
结构

布隆过滤器底层就是一个二进制的位数组,在初始状态,所有位置的位都是0

添加

  • 使用哈希函数对元素进行哈希计算得到索引值,将索引值对应的数组下标所在的值设置为1
  • 如果是多个哈希函数则进行上述同样的操作

查询

  • 对要查询的元素同样使用哈希函数进行计算,如果存在多个哈希函数则得到多个索引值
  • 判断这些索引值对应的数组下标的值是否都为1,如果是,则判断这个元素为存在。如果这些下标的值只要有一个是0,那么判断这个元素为不存在

流程图

表关系

容量估算

当我们知道了布隆过滤器的原理后,还剩下个问题,就是要估算出布隆过滤器所需要的容量,以便于配置服务器的容量

布隆过滤器的容量是和产生的碰撞概率有关的,通过布隆过滤器的原理能知道,容量和碰撞概率的关系就是相斥的

要想碰撞概率小,容量肯定就要大。

要想容量小,碰撞概率肯定就要大

公式

那么具体要如何估算呢,我们可以根据公式要进行计算:

m = -(n × ln p) / (ln 2)^2

m可能算到小数,那就向上取整

参数解释

  • n 元素的样本量
  • p 碰撞率
  • m 布隆过滤器占用比特数

进行计算

以用户注册业务为例,我们需要计算 n,也就是用户量需要多少

2023年末2024年初,常住人口140967万人,这里我们直接取整为14亿,假设这14亿人所有人都是大麦网的用户,用这个数字作为布隆过滤器的容量来说,以目前国内的用户增长量来说,五年内绝对是没有任何问题的

至于碰撞率 p 我们取一个比较精确的值,0.2%

n = 14亿p = 0.2% 带入公式中,计算出

m ≈ 1.8108849535 × 10^10

这时 m 的单位是bit,如果换成GB单位, 则

m ≈ 2.108 GB

布隆过滤器组件

讲解完布隆过滤器后,下面就是开始使用了,在经典的开源项目 **Redisson,**项目中提供了布隆过滤器的支持,如果小伙伴对 Redisson 感兴趣,可跳转到对应的地址

本人将 Redisson 的布隆过滤器集成到项目中了,使用起来更加简单

依赖

<dependency>
<groupId>org.javaup</groupId>
<artifactId>hmdp-bloom-filter-framework</artifactId>
<version>${revision}</version>
</dependency>

关于项目中布隆过滤器组件的详细设计讲解,可跳转到:

布隆过滤器的优雅设计原理

🎁优惠